POSTERS
caps lock
Intro
« » { } ~
Selecciona una sesión
Todos
Cardiovascular 1
Cardiovascular 2
Cardiovascular 3
Cardiovascular 4
Cardiovascular 5
Cardiovascular 6
Cardiovascular 7
Cardiovascular 8
Cirugía cardíaca 1
Cirugía cardíaca 2
Donación y trasplantes 1
Donación y trasplantes 2
Ética/Donación/Trasplantes
Hematología/Oncología crítica 1
Hematología/Oncología crítica 2
Hematología/Oncología crítica 3
Infección/Antibióticos 1
Infección/Antibióticos 10
Infección/Antibióticos 2
Infección/Antibióticos 3
Infección/Antibióticos 4
Infección/Antibióticos 5
Infección/Antibióticos 6
Infección/Antibióticos 7
Infección/Antibióticos 8
Infección/Antibióticos 9
Infección/Antibióticos/Sepsis/FMO 1
Infección/Antibióticos/Sepsis/FMO 2
Lesión aguda pulmonar/SDRA/Ventilación mecánica
Marcapasos/Arritmias
Marcapasos/Arritmias/Cirugía cardíaca
Marcapasos/Arritmias/Monitorización hemodinámica
Metabolismo y nutrición
Miscelánea 1
Miscelánea 3
Nefrología/Depuración extrarrenal
Nefrología/Patología digestiva
Neurointensivismo 1
Neurointensivismo 2
Neurointensivismo 3
Neurointensivismo 4
Neurointensivismo/Traumatismos
Organización/Gestión/Calidad 1
Organización/Gestión/Calidad 2
Organización/Gestión/Calidad 3
Organización/Gestión/Calidad 4
Organización/Gestión/Calidad 5
Organización/Gestión/Calidad 6
Organización/Gestión/Calidad 7
Organización/Gestión/Calidad 8
Patología digestiva crítica
Respiratorio 1
Respiratorio 2
Respiratorio 3
Respiratorio/SDRA/VM
Sedación/Analgesia 1
Sedación/Analgesia 2
Sedación/Analgesia 3
Sedación/Analgesia/Donación/Trasplantes
Sepsis/FMO 1
Toxicología/Nuevas tecnologías
Traumatismos 1
Traumatismos 2
Traumatismos 3
Urgencias/Emergencias
Ventilación mecánica
001. ECMO VA en Parada Cardiorespiratoria Refractaria en el H.U. Navarra: experiencia inicial y evaluación de resultados
002. Membrana de oxigenación extracorpórea (ECMO) tras la Pandemia de COVID-19
003. Experiencia de soporte circulatoria con IMPELLA en shock cardiogénico
004. Modificaciones en el Speckle Tracking del ventrículo izquierdo inducidos por la ventilación mecánica en pacientes sanos
005. Caracterización de una serie de casos de Shocks Cardiogénicos, HUNSC. ¿Son útiles los marcadores de gravedad al ingreso?
006. Análisis de biomarcadores cardíacos en pacientes con Tromboembolismo Pulmonar, ¿alternativa diagnóstica a la ecografía?
007. Implantación código TEP desde los profesionales en el Hospital de la Princesa
008. UCI extendida de cardiología: perfil clínico de los pacientes que ingresan en UCI para cierre de orejuela izquierda
009. Efectos del óxido nítrico con y sin reclutamiento pulmonar sobre la función del ventrículo derecho post cirugía cardíaca
010. Impacto de la implantación de un código Shock Cardiogénico coordinado con Hospital de referencia en un Hospital Comarcal
011. Uso e indicaciones del balón de contrapulsación intraaórtico con el auge de los dispositivos de asistencia ventricular
012. Experiencia inicial con el uso de trombólisis local en pacientes con tromboembolismo pulmonar agudo
013. Fibrinólisis local guiada por catéter en tromboembolismo pulmonar agudo de riesgo intermedio-alto
014. Evaluación de la aorta torácica con Speckle Tracking y Peep creciente en el shock cardiogénico
015. Utilidad del Speckle Tracking y de la integral velocidad tiempo en el pronóstico del tromboembolismo pulmonar agudo
016. Manejo embolismo pulmonar (TEP) grave con trombectomía y trombólisis local. Experiencia centro de primer nivel
017. Ensayo clínico (EC): comparación del estrés postraumático; musicoterapia (MT) vs. práctica clínica habitual (PCH)
018. Ensayo clínico (EC): comparación de analgosedación en destete: musicoterapia (MT) vs. práctica clínica habitual (PCH)
019. Valor pronóstico de las pruebas de imagen en el tromboembolismo pulmonar en medicina intensiva
020. Protección diafragmática guiada por ecografía. Estudio PRODIGE
021. Análisis transcriptómico para la predicción de secuelas neurocognitivas post UCI y mecanismos moleculares asociados
022. Pautas de medicación y éxito en intubación al primer intento, en obesos y en vía aérea difícil. Análisis de INTUPROS
023. Resultados de la membrana de oxigenación extracorpórea como puente al trasplante pulmonar. Experiencia de 4 años
024. Comparación del patrón respiratorio inicial de pacientes con insuficiencia respiratoria por neumonía según su evolución
025. Utilidad del FILMARRAY frente al cultivo en el diagnóstico de neumonía en el paciente crítico
026. Análisis descriptivo de los pacientes tratados con ECMO V-V en la UCI del Hospital Universitario Puerta del Mar
027. Uso de laringoscopia directa VRS videolaringoscopia en IOT de pacientes de la UCI en Reus, análisis de datos 2021-2024
028. Características de los pacientes que requirieron traqueostomia durante su ingreso en una unidad de cuidados intensivos
029. Infección por Enterovirus/Rhinovirus (EV/RH) en la UCI de un Hospital de primer nivel. Implicaciones clínicas
030. Evaluar beneficios de realizar traqueostomía precoz vs. tardía en paciente crítico con ventilación mecánica prolongada
031. Correlación de escalas pronósticas en hemorragia subaracnoidea y ranking (6 meses), H.U. NTRA. SRA. de Candelaria (STC. Tenerife)
032. Relación escalas pronósticas en hemorragia subaracnoidea y vasoespasmo en el H. U. NTRA. SRA. de Candelaria (STC Tenerife)
033. Hemorragia subaracnoidea espontánea. Escala VASOGRADE como marcador pronóstico de dependencia al alta y 6 meses
034. HSA aneurismática. Complicaciones en UCI, comparativa de tratamiento quirúrgico y endovascular
035. Análisis de factores asociados a discapacidad y mortalidad tras el alta UCI en pacientes con craniectomía descompresiva
036. Análisis de factores de riesgo de discapacidad al alta de UCI en pacientes con hemorragia subaracnoidea, tras once años
037. Tratamiento intraarterial cerebral en pacientes UCI con hemorragia subaracnoidea e isquemia cerebral tardía tras seis años
038. Estudio de factores de riesgo y complicaciones en paciente portador de drenaje ventricular externo
039. Enolasa neuro-específica: predictor en el pronóstico neurológico post-parada cardíaca
040. Predictores precoces de isquemia cerebral tardía en hemorragia subaracnoidea aneurismática
041. Electroencefalograma vs. índice biespectral para detectar isquemia cerebral tardía en hemorragia subaracnoidea
042. EEG de rutina con análisis cuantitativo para detectar isquemia cerebral tardía en hemorragia subaracnoidea aneurismática
043. Comparativo de supervivencia y pronóstico funcional según NIHSS en pacientes ingresados en UCI por ictus isquémico agudo
044. Resultados de la craniectomía descompresiva en pacientes con enfermedad cerebrovascular aguda
045. Desarrollo de delirium durante el ingreso en UCI y calidad de vida percibida
046. Hemorragia subaracnoidea aneurismática en UCI
047. Impacto de la Amfotericina B Liposomal en la función renal en pacientes críticos
048. Características de la neumonía asociada a ventilación mecánica según la etiología
049. Resultados preliminares del estudio piloto off-label (MESIS study) con el panel BIOFIRE ® Blood Culture Identification
050. Utilidad de los hemocultivos de seguimiento en las bacteriemias de los pacientes críticos
051. Estado de proyecto Resistencia Zero durante los últimos tres años en el Hospital Universitario San Jorge
052. Factores asociados a infecciones postoperatorias inmediatas tras citorreducción e HIPEC
053. Factores de riesgo para mortalidad en pacientes críticos con virus pandémicos con diferentes análisis Machine Learning
054. Implantación de un programa de optimización de antimicrobianos de alto impacto ecológico en pacientes críticos
055. Ancho de distribución de monocitos (MDW) como biomarcador de infección en UCI. I. Estudio de validez
056. Ancho de distribución de monocitos (MDW) como biomarcador de infección en UCI. III. Estudio de capacidad discriminativa
057. Factores de riesgo de infecciones nosocomiales por pseudomonas multirresistentes con descontaminación digestiva en UCI
058. Factores riesgo de infecciones nosocomiales por gérmenes multirresistentes en UCI y descontaminación digestiva selectiva
059. Prevalencia y factores de riesgo de colonización por microorganismos multirresistentes en una unidad de críticos
060. Evolución del «ratio» de bacterias multirresistentes en pacientes ingresados en UCI en estos últimos 15 años (ENVIN)
061. Ratio en UCI de cada bacteria multirresistente registrada en informes ENVIN. Evolución en los últimos trece años
062. Conocimiento y formación en habilidades no técnicas del personal sanitario en cuidados intensivos
063. Estudio SYMEVECA fase 2: ventilaciones sincronizadas con compresiones en parada cardíaca mejoran los resultados
064. Desarrollo de app móvil: guía de conciliación de la medicación en pacientes críticos
065. ¿Ha cambiado el curso clínico de las intoxicaciones en UCI?
066. Evaluación de validez de las cámaras termográficas en pacientes críticos: concordancia y utilidad clínica. TERMOCAMUCI-1
067. Registro de los pacientes ingresados en UCI a consecuencia de las inundaciones producidas en octubre 2024 en Valencia
068. Análisis de los efectos derivados del uso de antídotos en intoxicaciones agudas en un hospital de tercer nivel en Madrid
069. CODITOX: nuevo paradigma en la atención al paciente intoxicado grave
070. Estudio descriptivo de los pacientes atendidos por parada cardiorrespiratoria en una UCI de segundo nivel
071. Estudio descriptivo de los pacientes ingresados por trauma grave en una UCI de segundo nivel
072. Sospechar la intoxicación de metanol, clave para su diagnóstico y tratamiento
073. Intoxicaciones y sus complicaciones en una UCI de un hospital de tercer nivel
074. Alta actividad de ondas lentas y sueño profundo en la UCI: análisis espectral de las grabaciones EEG
075. Intoxicaciones graves en Madrid: 8 años de aprendizaje en un hospital de tercer nivel
076. Fragilidad, prevalencia en nuestras UCIs y características diferenciales de los pacientes frágiles
077. Índice de exposición ocupacional al isoflurano durante la sedación inhalatoria en una UCI polivalente
078. Características de los pacientes añosos ingresados en la unidad de cuidados intensivos
079. ¿Existe un efecto «weekend» en el pronóstico de los pacientes críticos ingresados en una UCI polivalente?
080. ¿Existe un efecto «off hour» en el pronóstico de los pacientes críticos ingresados en una UCI polivalente?
081. Análisis de la fragilidad en pacientes críticos ingresados en una UCI polivalente
082. Análisis de la seguridad del paciente en los servicios de medicina intensiva de Cataluña: resultados de una encuesta MUL
083. Registro de intervenciones farmacéuticas en cuidados intensivos: impacto en indicación, efectividad y seguridad
084. La otra pandemia: el burn out del personal sanitario de cuidados intensivos
085. Análisis del registro de la PCR intrahospitalaria, prueba piloto
086. Síndrome de burn out entre los profesionales sanitarios en una unidad de cuidados intensivos
087. Resultados de la consulta post-cuidados intensivos en pacientes supervivientes de neumonía grave COVID19
088. Evaluación de factores de riesgo relacionados con el síndrome postcuidados intensivos en pacientes con neumonía COVID19
089. Relación entre la presencia de síndrome postcuidados intensivos del paciente y síndrome postcuidados intensivos de SU FA
090. Factores determinantes en el desarrollo de alteraciones cognitivas en el síndrome postcuidados intensivos (PICS)
091. Calidad de vida relacionada con la salud según la presencia de distintos dominios del síndrome postcuidados intensivos
092. Prácticas de analgosedación y delirium en los servicios de medicina intensiva españoles
093. Efecto del uso de morfina y midazolam en pacientes críticos con ventilación mecánica
094. Impacto de las diferentes combinaciones de fármacos analgésicos y sedantes utilizados en la UCI
095. Contando ovejas. Protocolo de prácticas de promoción del sueño en UCI
096. Impacto en la dependencia al alta de la estrategia sedoanalgésica utilizada en UCI
098. El último escalón para la sedación inhalatoria
099. Monitorización nociceptiva en sedación inhalatoria
100. ¿Cómo se cumplen las medidas del paquete ABCDEF en nuestras UCIs? Encuesta SEDUCI2024
101. Impacto de la implantación de sedación inhalatoria en consumo de sedantes, estancias y días de VM
102. Evaluación del sevoflurano en una unidad de cuidados intensivos
103. ¿Influye el inicio de la sedación con sevoflurano en las dosis de opiáceos y aminas de nuestros pacientes?
104. Estudio GIROPICS: análisis del síndrome post UCI y estradificación según gravedad
105. Repercusión de la implantación de FILMARRAY neumonía plus en la desescalada antibiótica de pacientes críticos
106. Utilización de antimicrobianos en una unidad de cuidados intensivos polivalente a lo largo de 17 años
107. Efectividad clímica y resistencia emergente a CEFIDEROCOL en pacientes críticos con infecciones por BGN-MDR
108. Análisis de los gérmenes aislados en una unidad de cuidados intensivos polivalente a lo largo de diecisiete años
109. Infecciones por Streptococcus Pyogenes en UCI: características clínicas, estrategias de manejo y resultados
110. Mortalidad en pacientes de UCI con infecciones por S. Pyogenes: análisis retrospectivo
111. Bacteriemias primarias y secundarias a infección por catéter en el servicio de medicina intensiva del CHUNSC en Tenerife
112. Sobreinfección por pseudomonas aeruginosa en pacientes fallecidos infectados por SARS-CoV-2 en el servicio m. intensiva
113. Análisis de los pacientes ingresados con diagnóstico de neumonía en una unidad de cuidados intensivos de tercer nivel
114. Neumonía necrotizante severa en la UCI: serie de casos
115. CEFIDEROCOL en pacientes con infecciones graves por bacilos gram negativosen UCI: eficacia y seguridad tras tres años
116. Análisis de tasa de colonización por organismos multirresistentes en servicio de medicina intensiva HUNSC año 2021-2024
117. Oxigenación por membrana extracorpórea veno-arterial (ECMO-VA): una década de experiencia en un hospital terciario
118. Cetoacidosis postquirúrgica en cirugía cardíaca: una complicación emergente. Resultados preliminares
119. Estudio descriptivo del uso de la ECMO V-A en una UCI de tercer nivel con cirugía cardíaca y sin trasplante
120. Comunicación interventricular secundaria a infarto agudo en miocardio. Serie de casos en un hospital de referencia
121. Características y evolución del síndrome de bajo gasto cardíaco en el postoperatorio de cirugía cardíaca
122. Impacto de la vasopresina en la supervivencia del paciente posoperado cardíaco
123. Experiencia centro de primer nivel uso canula doble luz Protek-Duo como soporte hemodinámico y respiratorio
124. Correlación de la edad y otras variables en el tromboembolismo pulmonar
125. Análisis descriptivo de los pacientes ingresados por tromboembolismo pulmonar
126. Experiencia tras implantación de válvula aórtica transcatéter (TAVI) en una UCI de segundo nivel
127. Abordaje intercostal anterior vs. subxifoideo del derrame pericárdico en medicina intensiva de un hospital comarcal
128. Trombectomía pulmonar percutánea en TEP de riesgo intermedio-alto. ¿Tratamiento de primera elección?
129. Descripción de características y evolución de pacientes ingresados por parada cardiorrespiratoria según el ritmo inicial
130. Rentabilidad de la ecocardiografía como predictor de mortalidad en pacientes con shock séptico. Cociente TAPSE/PAPS
131. Valoración hemodinámica de la ecocardiografía transtorácica del ventrículo izquierdo vs. el sistema PICCO®
132. Valoración de la ecocardiografía de las cavidades derechas en la monitorización hemodinámica
133. Análisis retrospectivo de una estrategia de seguimiento por control remoto en una unidad de arritmias de UCI
134. Pacientes con marcapasos y estimulación
135. Evaluación post-test del índice de predicción de hipotensión en las priemras 12h del postoperatorio de cirugía cardíaca
136. Implementación de un programa de optimización de terapias contínuas de reemplazo renal (PROC): resultados preliminares
137. Estudio de concordancia en la medición del calcio iónico posfiltro utilizando dos gasómetros en sangre total y en suero
138. Análisis de infección por C. Difficile en pacientes con infección abdominal no quirúrgica en una UCI polivalente
139. Mortalidad asociada al fracaso renal agudo en pacientes con soporte de oxigenación con membrana extracorpórea (ECMO)
140. Estudio descriptivo sobre el uso de terapias contínuas de reemplazo renal en la UCI de un hospital de segundo nivel
141. Experiencia y perfil de seguridad de la sedación inhalatoria en la UCI de un hospital de tercer nivel
142. Impacto del dispositivo de oxigenación de membrana extracorpórea en la farmacocinética de morfina en pacientes
143. Impacto de los tratamientos de soporte ECMO y hemofiltración contínua en la práctica de la analgosedación en la UCI
144. La nueva terapia: sedación inhalatoria. Manejo tras su introducción en el Hospital Universitario Virgen de la Victoria
145. ¿Qué ha cambiado tras la incorporación de la sedación inhalatoria en nuestro hospital?
146. Características de los pacientes con sedación inhalada ingresados en UCI en un hospital de segundo nivel durante dos años
147. Implementación de la sedación inhalatoria con isoflorano en una UCI polivalente de un hospital de segundo nivel
148. Análisis microbiológico de los teléfonos móviles de guardia de los médicos de la UMI del Hospital San Pedro
149. Reflexiones de un equipo multidisciplinar: implementación de un protocolo de movilización precoz (MOBI-TRUETA)
150. Motivos de exclusión para el seguimiento del síndrome post-cuidados intensivos en la consulta post-UCI
151. «Reduciendo los errores de medicación en la UCI: un enfoque integral para la seguridad del paciente»
152. Más allá de la unidad de cuidados intensivos: servicio extendido de medicina intensiva en un Hospital Militar General
153. Mortalidad y pronóstico del paciente muy anciano que ingresa en medicina intensiva
154. ¿Afecta la sedación inhalada en la fase inicial la mecánica pulmonar en pacientes bajo ventilación mecánica?
155. Efectos de la sedación inhalada en el espacio muerto y mecánica pulmonar en pacientes bajo ventilación mecánica con SDRA
156. Estatus asmático (AS)/asma casi fatal (NFA) con necesidad de soporte ECMO: serie de 4 casos en dos UCI españolas
157. Características clínicas y mortalidad en población con oxígeno domiciliario que recibe ventilación mecánica invasiva
158. Experiencia en el manejo de la oxigenación por membrana extracorpórea veno-venoso en un hospital terciario de Canarias
159. Morbimortalidad del paciente crítico anciano sometido a ventilación mecánica
160. Descriptivo de hemorragias subaracnoideas (HSA) aneurismáticas en el C. H. U. NTRA. SRA. de Candelaria (S.C. Tenerife)
161. Hematocrito y vasoespasmo en hemorragia subaracnoidea (HSA) aneurismática, en el H. U. NTRA. SRA. de Candelaria (Tenerife)
162. Relación vasoespasmo en hemorragia subaracnoidea con antecedentes y parámetros en H. U. NTRA. SRA. Candelaria (Tenerife)
163. Relación entre la arteria aneurismática y tratamiento con vasoespasmo, en H. U. NTRA. SRA. de Candelaria (STC. Tenerife)
164. Valoración ecográfica de las complicaciones cardiopulmonares de la hemorragia subaracnoidea aneurismática
165. Troponina-T y NT-PROBNP al ingreso en UCI como marcadores pronósticos de isquemia cerebral tardía en pacientes con HSA
166. ¿Qué podemos aportar a la atención extra-hospitalaria tras analizar los datos de las paradas cardíacas recuperadas?
167. Desesperación en estado crítico: análisis de los ingresos con fines autolíticos en la UCI del Hospital de Mérida
168. Impacto clínico y pronóstico de la parada cardirrespiratoria en la unidad de cuidados intensivos
169. Estudio de canalización de catéter venoso central y trombosis precoz
170. De la UCI al post-UCI: la importancia de la intervención psiquiátrica y el seguimiento
171. Utilidad de la ecografía clínica para el diagnóstico del tromboembolismo pulmonar
172. Análisis de los pacientes ingresados en UCI tras intento autolítico
173. Disección aórtica tipo B. Uso de la ecografía clínica
183. Factores relacionados con la mortalidad de los pacientes con ECMO postcardiotomía
184. Eficacia y seguridad de la maniobra de decúbito prono en el postoperatorio inmediato de cirugía cardíaca en adultos
185. Impacto de la contaminación ambiental en la mortalidad de la cirugía cardíaca
186. Análisis de la supervivencia de pacientes con neoplasia en cirugía cardíaca
187. Impacto de los tiempos de circulación extracorpórea e isquemia en la lesión renal aguda postoperatoria
188. Análisis comparativo de la extubación temprana y tardía en pacientes postoperados de cirugía cardíaca en La Rioja
189. Principales complicaciones en los pacientes con ECMO VA. Serie de casos de nuestro hospital
190. Factores de riesgo independientes para desarrollar insuficiencia respiratoria aguda en pacientes postoperados cardíacos
191. Análisis descriptivo de pacientes sometidos a cirugía cardíaca en la UCI coronaria de un hospital de tercer nivel
192. Análisis descriptivo de la cirugía de sustitución valvular tricuspidea: en búsqueda de factores de riesgo
193. ¿Es diferente la evolución de los shock postcardiotomía que requieren ECMO VA respecto del resto de shock cardiogénicos?
194. Disección aórtica tipo A. Estudio sobre la asociación entre la perfusión a través de la luz falsa y disfunción orgánica
195. Creatinina vs. diuresis: predictores del fracaso renal agudo oligúrico tras la cirugía cardíaca. Un modelo predictivo
196. Fracaso renal agudo tras la cirugía cardíaca: un análisis revelador sobre su prevalencia y causas
197. Impacto del estadio tumoral en la morbimortalidad y el uso de soporte avanzado en pacientes oncohematológicos críticos
198. Avanzando en el manejo de pacientes hematológicos críticos: evidencia del tratamiento activo en UCI
199. Impacto del estadio funcional basal y el soporte invasivo en la mortalidad del paciente oncohematológico crítico
200. Pronóstico del paciente oncológico en la unidad de cuidados intensivos de un hospital comarcal
201. Valoración inicial y decisiones de ingreso en UCI en pacientes oncológicos críticos: impacto clínico y pronóstico
202. Características al diagnóstico de los pacientes con mieloma múltiple predictoras de ingreso en UCI
203. Motivos de ingreso en UCI de los pacientes afectos de mieloma múltiple
204. Relación entre el motivo de ingreso en UCI y el desenlace clínico en pacientes oncológicos
205. Comparación entre pacientes con diagnóstico de tumores hematológicos y sólidos atendidos en UCI
206. Análisis del uso de antimicrobianos y antifúngicos de amplio espectro al ingreso en UCI en pacientes hematológicos
207. Registro de las principales infecciones en pacientes hematológicos durante su ingreso en la UCI
208. Travesía crítica: el camino de los pacientes hematológicos desde la planta hasta la UCI
209. UCI y leucemias agudas en fase inducción. ¿Qué podemos esperar?
210. Características clínicas y resultados de pacientes oncológicos ingresados en la UCI: análisis descriptivo
211. Evolución del postoperatorio del paciente oncohematológico en UCI
212. Utilidad de la plasmaféresis como forma de tratamiento de patologías graves en una UCI de un hospital de segundo nivel
213. Uso a largo plazo de la descontaminación digestiva selectiva en UCI en zonas con moderada-alta resitencia antibiótica
214. Vínculo entre colonización e infección invasiva por bacterias multirrresistentes en pacientes críticos médicoquirúrgicos
215. Brote de legionella en el Hospital Universitario de Cáceres, ingresos en UCI
216. Reducción de contaminación por microorganismos multirresistentes con iones de plata: estudio observacional prospectivo
217. ¿En qué pacientes puede elevarse la procalcitonina?
218. Bacteriemia nosocomia. Implicaciones clínicas, microbiológicas y pronósticas de la presencia de ECMO en la UCI
219. Relación entre la procalcitonina y la terapia de reemplazo renal
220. ¿Tienen las alteraciones analíticas acompañantes a la sepsis relación con los niveles de procalcitonina?
221. Utilidad de la secuenciación molecular en el análisis de un brote de acinetobacter baumannii resitente a carbapenémicos
222. Microorganismos frecuentes y resistencias adquiridas en pacientes colonizdos en una UCI de tercer nivel
223. Análisis retrospectivo (diez años) de neumonía asociada a ventilación mecánica (NAV) según el tratamiento empírico inicial
224. Farmacocinética del Cefiderocol en el paciente crítico asisitido con ECMO
225. Enfermedad neumocócica invasora en la UCI del H. Universitario Marqués de Valdecilla. Análisis de casos de 2019 a 2024
226. Comparación del uso de Ceftazidima-Avibactam con Aztreonam vs. Cefiderocol en pacientes críticos
227. Enfermedad neumocócica invasora en niños en la UCI del H. U. Marqués de Valdecilla. Análisis de casos de 2019 a 2024
228. Enfermedad de Weil (Leptospirosis Ictérica) pre-DANA
229. Disociación clínico-anatómica en el traumatismo craneoencefálico AIS 4-5
229. Disociación clínico-anatómica en el traumatismo craneoencefálico AIS 4-5
230. Disociación clínico-anatómica en el traumatismo craneoencefálico AIS 1-3
231. Infecciones en el trauma grave. Incidencia y factores de riesgo
232. Eficacia del bloqueo del erector de la espina en el manejo del traumatismo torácico
233. Shock oculto y trauma potencialmente grave en la atención extrahospitalaria: ¿Ha llegado la hora de redefinir conceptos?
234. Análisis del manejo extrahospitalario del trauma grave en el Hospital Universitario Virgen de la Victoria
235. Perfil epidemiológico y factores pronósticos de mortalidad en traumatismo craneoencefálico grave
236. Seguridad en el manejo de la anticoagulación en pacientes con traumatismo craneoencefálico (TCE) al alta
237. Impacto personal del ingreso en UCI tras el intento autolítico traumático: evaluación del daño corporal. Fase piloto
238. Control de calidad asistencial en atención inicial al trauma grave en un hospital de nivel III
239. Análisis de muertes evitables en el traumatizado grave en un hospital de nivel III
240. Análisis de mortalidad en el traumatizado grave en un hospital de nivel III
241. Pacientes traumáticos atendidos por unidades medicalizadas aéreas (HEMS) ingresados en UCI. Estudio RETRAUCI
242. Desafíos y manejo de pacientes con traumatismo vertebromedular en una UCI polivalente
243. Análisis descriptivo de los politraumatismos potencialmente graves que no ingresan en el Servicio de Medicina Intensiva
244. Trombosis de senos venosos cerebrales en la enfermedad traumática
245. Análisis de los eventos adversos en una UCI polivalente: tendencias y factores asociados
246. Puesta en marcha de UCI_PROGRESA: PROGrama de REflexiones y observaciones para una UCI Segura y Avanzada
247. Análisis de mortalidad hospitalaria según las variables del conjunto mínimo básico de datos de UCI. Estudio unicéntrico
248. Análisis de clusters en pacientes de una consulta post UCI: perfiles de riesgo mediante factores clínicos y funcionales
249. Impacto del momento diagnóstico en la mortalidad del paciente oncohematológico crítico
250. Sistemas de información clínica en nuestras UCI. Hacia dónde vamos
251. La formación en ecografía pulmonar como método para reducir la radiación innecesaria recibida por los pacientes
252. Ingreso o no ingreso, esa es la cuestión
253. Más allá de la UMI: mortalidad oculta
254. Guía de validación farmacéutica de medicamentos en UCI
255. Unidad de semicítricos, experiencia en un hospital terciario
256. Análisis de los pacientes en seguimiento en la consulta postUCI del Hospital Universitario S. Cecilio
257. Determinación del nivel de estrés percibido en los profesionales de cuidados intensivos -Hopsital San Cecilio- Granada
258. La implantación de un protocolo de rehabilitación precoz en medicina intensiva mejora los resultados funcionales
259. Primer año del registro CMBD-UCI en el Hospital Universitario HLA Moncloa. Estudio descriptivo
260. Transformación hemorrágica en ictus fibrinolisados: análisis de datos con IA en el Hospital Marina Baixa (2019-2024)
261. Validez del monitor de BIS en la detección de estado epiléptico y descargas epileptiformes aisladas frente al EEG
262. Asociación de la fragilidad y prefragilidad con el pronóstico de los pacientes ingresados en UCI
263. Validez del monitor de BIS en la detección de patrón de brote-supresión frente al EEG convencional
264. Mortalidad y dependencia funcional en aspects <= 7 ingresados en UCI sometidos a trombectomía mecánica
265. Craniectomía descompresiva en el traumatismo craneoencefálico grave: análisis en una UCI especializada de tercer nivel
266. Hemorragia subaracnoidea: clínica, diagnóstico, tratamiento, complicaciones y evolución posterior
267. Análisis descriptivo pacientes con HSA espontánea ingresados en HGUA
268. Capacidad predictiva del doppler transcraneal para detectar vasoespasmo en pacientes con HSA espontánea
269. Relación del tiempo de hipoxia tisular y tiempo de hipoperfusión cerebral con el pronóstico de pacientes neurocríticos
270. Relación de la alteración de la autorregulación cerebral con el pronóstico de los pacientes neurocríticos
271. Análisis sobre la mortalidad en pacientes con hematomas intracerebrales espontáneos en una UCI de tercer nivel
272. Análisis del desarrollo de neumonías en pacientes con hematomas intracerebrales espontáneos ingresados en UCI
273. Morbimortalidad de pacientes con accidente cerebrovascular isquémico que requieren ingreso en UCI
274. Factores de riesgo para pronóstico desfavorable en pacientes con accidente cerebrovascular isquémico ingresado en UCI
275. Realidad de la hemorragia subaracnoidea en el Hospital Universitario de Burgos. Análisis de tres años
276. Factores de riesgo para el desarrolllo de bacteriemia en el postoperatorio inmediato de trasplante pulmonar
277. Donación de tejido corneal. ¿Cómo lo hacemos?
278. Un año de nueva vida: reflexiones y aprendizajes en trasplante pulmonar en un hospital terciario de Gran Canaria
279. Trasplante cardíaco en Canarias: cinco años de experiencia
280. Insuficiencia cardíaca avanzada en shock cardiogénico ingresados en UCI a la espera de trasplante cardíaco electivo
281. Evaluación del flujo sanguíneo cerebral durante la donación en asistolia controlada mediante gammagrafía portátil
282. Optimización de la donación tisular en un hospital de tercer nivel tras la instauración de una enfermera de tejidos
283. Trasplante cardíaco con donante en muerte encefálica vs. donante en asistolia controlada en Canarias. ¿Hay diferencias?
284. Aplicación de la escala STABLE en pacientes ingresados en UCI con soporte ECMO como puente a trasplante pulmonar
285. ¿Por qué no han sido donantes de órganos nuestros pacientes?
286. Empleo de la elastografía hepática en los pacientes donantes de hígado
287. Trasplante pulmonar: necesidad de sistemas de circulación de membrana extracorpórea en el perioperatorio
288. Un desafío técnico: la preservación cardíaca en donantes en asistolia controlada con insuficiencia respiratoria severa
289. ¿Existe un cambio en el perfil del donante con asistolia?
290. Inicio de un programa ECMO-PRN en un hospital de segundo nivel sin ECMO terapéutico. ¿Cómo lo hacemos?
301. Implantación del proyecto ECMO-RCP en un hospital de tercer nivel. ¿Es necesario un protocolo de actuación?
302. Valor diagnóstico del volumen plaquetar medio en el tromboembolismo pulmonar
303. Valor diagnóstico de la PaCO2 en el tromboembolismo pulmonar
304. Papel de dos puntos de corte del dímero D en el diagnóstico del tromboembolismo pulmonar
305. Mecanismos de descarga del ventrículo izquierdo durante la asistencia ECMO veno-arterial (V-A) en el shock cardiogénico
306. ¿Influyen los factores de riesgo cardiovascular en la aparición de complicaciones vasculares tras implante de TAVI?
307. Supervivencia y pronóstico neurológico de los pacientes ingresados en UCI tras sufrir una parada cardiorrespiratoria
308. Nuestra experiencia con la reparación transcatéter de válvula mitral mediante sistema MITRACLIP
309. Análisis de biomarcadores séricos neuropronósticos (NSE y S100) como predictores de supervivencia tras RCP y ECMO-RCP
310. Experiencia tras casi dos años con TAVIS en la UCI HUPM
311. Paradas cardiorrespiratorias que ingresan en las unidades de cuidados intensivos de un hospital terciario
312. Tratamiento fibrinolítico vs. manejo conservador con anticoagulación en pacientes con TEP de riesgo intermedio-alto
313. Cardioversión eléctrica externa como técnica de consultas externas en la UCI de un hospital de segundo nivel
314. Reparación transcatéter de válvula tricuspidea mediante triclip: nuestra experiencia
315. Bloqueo de rama izquierda post-TAVI y posble necesidad de marcapasos permanente
316. ¿Existen diferencias en infecciones relacionadas con catéter en pacientes con hemofiltración vs. diálisis convencional?
317. Estudio de precisión de dos gasómetros en la medida de calcio ionizado con valores por debajo de niveles fisiológicos
318. Fracaso renal agudo en soporte de oxigenación con membrana extracorpórea (ECMO)
319. Acidosis láctica asociada a metmorfina: revisión de una serie de casos
320. Incidencia e impacto sobre la mortalidad de la disfunción renal precoz en pacientes críticos traumáticos
321. Análisis de las terapias contínuas de depuración extracorpórea (TCDE) en nuestra unidad
322. Análisis comparativo de dos estrategias de anticoagulación regional con citrato: concentrado vs. diluido
323. Impacto del citrato como anticoagulante en terapias de reemplazo renal. Costes y duración en pacientes críticos
324. Comparación de las diferentes modalidades de anticoagulación de las terapias de depuración extracorpórea en la vida real
325. Diuresis horaria: el marcador precoz y olvidado del diagnóstico del fracaso renal agudo post-cirugía cardíaca
326. Resucitación volumétrica como predictor de daño renal agudo en sepsis
327. Impacto de la terapia de reemplazo renal (TRR) en pacientes con sepsis y lesión renal aguda (AKI)
328. Pronóstico de pacientes en shock séptico en tratamiento con antidiabéticos orales
329. Intoxicación por metformina con ingreso en UCI en los últimos cuatro años
330. Epidemiología y tratamiento de pacientes con enterobacterias portadoras de carbapenemasas. Evolución en una década
331. Infecciones por stenotrophomona maltophilia en nuestra unidad de medicina intensiva. Tratamiento y mortalidad
332. ¿Influye la región corporal colonizada por microorganismos en la probabilidad de desarrollo de infección?
333. Análisis del patrón de resistencia. tratamiento empírico y mortalidad asociada a infección por pseudomonas aeruginosa
334. Análisis de la utilidad del panel neumonía PCR en pacientes con infección respiratoria grave
335. Aplicación de un programa de optimización de antimicrobianos a la neumonía asociada a la ventilación mecánica
336. Utilidad de seriar B-D-glucano serico en paciente crítico para el diagnóstico precoz de la infección fúngica invasora
337. Análisis de variables preanalíticas en la toma de hemocultivos en un hospital de tercer nivel
338. Morbimortalidad de pacientes con shock séptico ingresados en UCI de un hospital de tercer nivel
339. Análisis de la mortalidad de la bacteriemia en un hospital de tercer nivel
340. Aplicación del programa de optimización de antimicrobianos a los pacientes oncohematológicos ingresados en la UCI
341. Búsqueda de la mejora del uso de antibióticos. Análisis previo de la base de datos de ENVIN
342. Colonización por candida pasapsilosis resistente a azoles: incidencia de candidemia y asociación con mortalidad
343. Análisis de infecciones ingresadas en la UCI del Hospital Peset de Valencia durante la DANA de octubre 2024
344. Impacto de los test de diagnóstico rápido en el diagnóstico y tratamiento de las infecciones respiratorias
345. Paciente oncohematológico en UCI: evolución según el motivo de ingreso (patología médica vs. postoperatorio urgente)
346. Paciente oncohematológico en UCI: evolución según el motivo de ingreso (patología médica vs. postoperatorio)
347. Variables relacionadas con mortalidad hospitalaria en los pacientes con neoplasia sólida en la UCI
348. Análisis de los factores relacionados con la mortalidad de pacientes ingresados en UCI tras cirugía programada
349. Cirugía programada en una unidad de cuidados intensivos polivalente
350. Análisis de la morbimortalidad de los paciente oncohematológicos valorados por el SMI del HGUCR
351. Cáncer de pulmón y UCI: ¿Qué caracteriza a los pacientes valorados y cómo evolucionan?
352. Pacientes con cáncer de pulmón: ¿Son las herramientas habituales suficientes para decidir ingreso o desestimación en UCI?
353. Análisis de la limitación del esfuerzo terapéutico en pacientes hematológicos ingresados en UCI
354. Análisis de la mortalidad en pacientes hematológicos ingresados en UCI
355. Pacientes oncohematológicos en UCI. Ingresos durante 5 años en una UCI de tercer nivel
356. Evolución de los ingresos de pacientes oncológicos en la UCI del Hospital de Navarra
357. Análisis de variables demográficas, oncológicas y alergológicas de las desensibilizaciones en la UCI del H. de Mérida
358. Análisis de las desensibilizaciones realizadas en la UCI del Hospital de Mérdia: extendiendo la UCI
359. Protocolo de transfusión masiva (PTM) en el Hospital Universitario de Salamanca (HUSA) 2021-2024
360. Prono precoz en SDRA. ¿La clave para mejorar los resultados?
361. Oxigenoterapia traqueal de alto flujo como alternativa a la oxigenoterapia en T en pacientes traqueosomizados
362. Potencia mecánica normalizada al peso corporal predicho en SDRA. Análisis post HOC de un estudio retrospectivo
363. Manejo en UCI del tromboembolismo pulmonar intermedio-alto: nuestra experiencia con intervencionismo con catéter
364. Drive respiratorio: ¿Debería considerarse antes de la extubación para prevenir la reintubación?
365. Monitorización contínua de la mecánica respiratoria durante la ventilación asistida independiente de presión esofágica
366. Evaluación del riesgo de reintubación, en relación al sexo y la edad
367. ¿Influye la realización de traqueotomía en la mortalidad en la unidad de cuidados intensivos?
368. Complicaciones de la traqueostomía en UCI: comparación entre técnicas percutáneas y quirúrgicas
369. Perfil metabolómico identificado mediante espectroscopía de resonancia magnética NU-clear como biomarcador de gravedad en la COVID-19
370. Exploring long non-coding RNAs in COVID-19 pneumonia: insights into disease pathophysiology
371. Estudio descriptivo sobre el impacto del COVID-19 en el uso de la posición prono en la UCI del Hospital de Fuenlabrada
372. Enfrentando el TEP en un hospital comarcal: nuestra experiencia en la fibrinólisis guiada por catéter
373. Implementación del electroencefalograma contínuo en una unidad de cuidados intensivos polivalente de tercer nivel
374. Implementación de protocolo para diagnóstico de isquemia cerebral tardía en pacientes con HSAA
375. Estudio retrospectivo del vasoespasmo en HSA y sus posibles predictores en la UCI de un hospital terciario de Navarra
376. El índice neutrófilo/linfocito como predictor de mortalidad en pacientes con hemorragia subaracnoidea
377. Relación entre la dosis de presión intracraneal (PIC) y el resultado neurológico en neurocríticos monitorizados
378. Relación entre la temperatura y el resultado neurológico en pacientes neurocríticos monitorizados
379. Impacto de la hidrocefalia en pacientes con hemorragia subaracnoidea
380. Hemorragia intracraneal espontánea en una unidad de cuidados intensivos: experiencia en un hospital de segundo nivel
381. Factores relacionados con la mortalidad precoz en la hemorragia cerebral intraparenquimatosa espontánea
382. Aplicación del doppler transcraneal (DTC) en vasoespasmo (VSP) en hemorragia subaracnoidea aneurismática (HSAA)
383. Influencia de la reversión del tratamiento anticoagulante en pacientes con hemorragia intracraneal espontánea
384. Hemorragia cerebral espontánea en pacientes críticos
385. Arteriografía precoz en paciente con HSA espontánea aneurismática. Estudio comparativo
386. Factores asociados a mortalidad en pacientes con hemorragia cerebral (intraparenquimatosa) espontánea
387. Hemorragia subaracnoidea… ¿Qué pasó después?
388. Alteraciones cardíacas en la HSA espontánea
389. Hemorragia subaracnoidea: diagnóstico, tratamiento, complicaciones y secuelas
390. Características clinico-epidemiológicas de las infecciones invasivas por S. Pyogenes en los períodos pre y postCOVID-19
391. Estado basal y tratamiento farmacológico crónico: efectos en la supervivencia a la sepsis
392. Impacto de las variantes de COVID-19 en el desarrollo de fracaso multiorgánico en pacientes críticos
393. La cuantificación del déficit de factor XIII en pacientes sépticos graves se correlaciona con mayor disfunción orgánica
394. Análisis de la transcripción genética (GEN-NOC) en el diagnóstico de la sepsis nosocomial en el paciente crítico
395. Código sepsis: de la teoría a la práctica
396. Shock séptico: análisis de la mortalidad en una unidad de cuidados intensivos de un hospital comarcal
397. La atención de la sepsis en Cataluña en comparación con los resultados globales europeos
398. Valor pronóstico del índice de shock en pacientes con diagnóstico de shock séptico
399. Delta del ancho de distribución eritrocitaria a las 72h como marcador de mortalidad en shock séptico
400. ¿Podemos establecer el umbral de IL6 para identificar el riesgo de mortalidad en sepsis grave y shock séptico?
401. Asociación entre recuento linfocitario absoluto y mortalidad a largo plazo en el paciente crítico
402. Impacto pronóstico del uso de vasopresina como segundo vasopresor en pacientes con shock séptico
403. Mid-regional pro-adrenomedulina (MR-PROADM) como predictor de mortalidad en sepsis o shock séptico por neumonía grave
404. Niveles de ferritina y su relación con la supervivencia del shock séptico
405. Caracterización y pronóstico de los pacientes con sepsis y shock séptico y síndrome de activación macrofágica like (MALS)
406. ¿Existe efecto «off hour» en la efectividad de la ventilación no invasiva en la insuficiencia respiratoria aguda?
407. Estudio descriptivo de la experiencia con eliminación extracorpórea de CO2 en un hospital de segundo nivel
408. ¿Influye el momento de la traqueotomía en la duración de la ventilación mecánica?
409. ECCO2R en SDRA grave: eficacia en control de acidosis y ventilación protectora, complicaciones y mortalidad asociada
410. Incidencia de neumonía asociada a la ventilación mecánica por pseudomonas aeruginosa y resistencias antibióticas en UCI
411. Evolución de las infecciones adquiridas en UMI postpandemia en el HU Nuestra Señora de Candelaria
412. Evolución de las NAVM tras la pandemia, ¿hemos vuelto a la normalidad? UMI del HU Nuestra Señora de Candelaria
413. ¿Es la procalcitonina un marcador de gravedad?
414. Perfil de seguridad y eficacia del cefiderocol en el tratamiento de las infecciones bacterianas multirresistentes
415. Estudio descriptivo de las carcterísticas de los pacientes colonizados ingresados en una UCI de tercer nivel
416. Descripción de la enfermedad por virus Nilo occidental en la unidad de cuidados intensivos del área de gestión sanitaria
417. Factores de riesgo clínico asociados a mortalidad precoz en pacientes con sepsis de origen comunitario
418. Análisis comparativo entre pacientes con sepsis médica y sepsis quirúrgica
419. Análisis de uso de vasopresina en el manejo del shock séptico refractario en el Hospital de Mataró
420. Análisis de la variación en la prescripción antibiótica en una unidad de medicina intensiva de carácter polivalente
421. Estudio observacional sobre colonización faríngea por bacterias gram-negativas multirresistentes en UCI
422. FILMARRAY en la toma de decisiones terapéuticas em pacientes críticos con sospecha de infección respiratoria
423. Estudio del impacto del balance hídrico en pacientes sépticos ingresados en UCI en un hospital de tercer nivel
424. Comparación del uso de antibióticos en terapia empírica vs. específica: análisis descriptivo observacional
425. Estudio descriptivo de mortalidad de infecciones intraabdominales no quirúrgicas no itus en una UCI polivalente
426. Neumonía asociada a ventilación mecánica durante y después de la pandemia COVID-19 en la UCI del H. Son Llàtzer
427. Análisis descriptivo de la incidencia de infección nosocomial en una unidad de cuidados intensivos con patología médica
428. Análisis del impacto de la introducción de un protocolo de DDS en las tasas de neumonía asociada a ventilación mecánica
429. Uso de cefiderocol en pacientes críticos en un hospital de tercer nivel
430. Reintroducción del programa resistencia zero en la unidad de cuidados intensivos del H. San Juan de Alicante
431. Tromboaspiración de gran calibre como terapia de reperfusión en pacientes con tromboembolismo pulmonar agudo
432. Uso de la ecografía en la parada cardiorrespiratoria: impacto en la toma de decisiones clínicas y prónostico
433. Utilidad del tratamiento endovascular en el tromboembolismo pulmonar de alto riesgo e intermedio-alto
434. Uso de asistencias ventriculares en pacientes con shock cardiogénico
435. Estudio descriptivo del impacto del control activo de temperatura en pacientes post-PCR en nuestra unidad
436. Análisis descriptivo de las PCR intrahospitalarias en el Hospital Virgen de la Victoria de Málaga
437. Estudio descriptivo de los pacientes que ingresan en neustra unidad de cuidados intensivos con PCR recuperada
438. Factores relacionados con la mortalidad en el shock cardiogénico: ¿Germen de una nueva escala predictoria de mortalidad?
439. Utilidad de la velocidad vectorial en la aorta torácica descendente
440. Estudio descriptivo de la mortalidad global y la situación funcional tras la parada cardiorrespiratoria
441. Parada cardiorrespiratoria intrahospitalaria
442. Análisis descriptivo sobre el uso de pruebas pronósticas tras la parada cardíaca en el H. U. Virgen de la Victoria
443. Evaluación del TIMI Score como escala pronóstica en el SCA mediante técnicas de inteligencia artificial
444. Evaluación del uso de los betabloqueantes como predictor de mortalidad en el SCA mediante técnicas de Machine Learning
445. Impacto de un modelo integrado de cardiología y medicina intensiva en la mortalidad del SCACEST
446. Sin saberlo, eres un potencial paciente coronario
447. Análisis descriptivo de la evolución de pacientes con shock cardiogénico en las primeras 48 horas
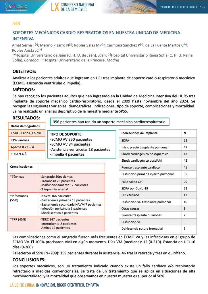
448. Soportes mecánicos cardio-respiratorios en nuestra unidad de medicina intensiva
449. Análisis de la mortalidad intra-UCI de los pacientes que ingresan con diagnóstico de parada cardiorrespiratoria
450. Nuestra experiencia tras un año de uso de isoflurano en la sedación de pacientes complejos
451. Factores asociados al ahorro de opiáceos durante la sedación inhalatoria
452. Comparación del conocimieno, experiencia y valoración de la sedación inhalatoria en 2023 y 2024
453. Uso de sedación inhalada como primera opción en pacientes de UCI
454. Características clínicas de los pacientes con sedación inhalatoria ingresados en una UCI de tercer nivel
455. Experiencia con isoflurano como coadyuvante en casos de sedación difícil en UCI
456. Estudio ADELPHA. Asociación entre delirium y presencia de banda alfa en el EEG procesado durante la sedación profunda
457. Evaluación e influencia de los niveles de vitamina D en el paciente crítico
458. ¿Influye el estado inflamatorio del paciente crítico en la tolerancia de la terapia médica nutricional?
459. Valoración nutricional: ecografía al ingreso en UCI
460. Valoración del patrón de oxidación de nutrientes mediante calorimetría indirecta en pacientes ingresados en UCI
461. Impacto de la calorimetría indirecta en la nutrición de pacientes críticos
462. Diferencias en la composición corporal y el estado nutricional en función del sexo en pacientes hospitalizados en UCI
463. Ángulo de fase al ingreso como indicador pronóstico en pacientes críticos
464. Impacto de un programa de transición UCI-planta: resultados y necesidad de intervención tras un año de implementación
465. evaluación del proceso de transición de UCI a planta: percepción de pacientes y familiares
466. Epidemiología descriptiva del paciente añoso que ingresa en medicina intensiva de un hospital de tercer nivel
467. Mortalidad oculta de pacientes traqueostomizados en una unidad de cuidados intensivos
468. Análisis de la rentabilidad diagnóstica de la realización de radiografías de tórax a modo de control
469. Variabilidad en el manejo y evolución de los pacientes ancianos en la unidad de cuidados intensivos (UCI). Estudio OPICU
470. Acidosis láctica en contexto de toma de metmorfina. Nuestra experiencia en los últimos diez años
471. «Raíces mortales». Intoxicación por oenanthe crocata. Descripción de tres casos cínicos ingresados en una UCI
472. Epidemiología de los pacientes ingresados por intentos autolíticos en la UCI del Hospital Virgen de la Victoria (HUVV)
473. Microservicios para procesamiento de imagen térmica y datos en la monitorización en UCI mediante Machine Learning
474. La Guerra Civil Española, aún presente en nuestros días
481. Uso del FILMARRAY en la identificación de patógenos y su concordancia con cultivos en muestras de lavado broncoalveolar
482. Peritonitis en UCI
483. Impacto del tratamiento antibiótico sobre el desarrollo de NAV precoz en pacientes con bajo nivel de consciencia
484. Análisis en el lavado bronco-alveolar del ensayo de flujo lateral de galactomanano para el diagnóstico de aspergilosis
485. Vasopresina: primeros pasos en la UCI de un hospital comarcal
486. Utilidad de la PCR multiplex en pacientes con neumonía en ventilación mecánica en una unidad de cuidados intensivos
487. Bacteriemias por enterobacterias cromosómicas inducibles en el paciente crítico. Análisis del fenómeno de desrepresión
488. Estudio descriptivo sobre infección por clostridioides difficile en UCI
489. Análisis preliminar de la capacidad erradicadora de la tobramicina inhalada en pacientes ventilados colonizados
490. Evolución de las tasas y de la etiología de las infecciones asociadas a dispositivos invasores en UCI. Período 2014-2024
491. El viaje del paciente (VP) como primer paso para integrar la experiencia del paciente en las UCI
492. Evolución de fallo orgánico y balance hídrico para predecir mortalidad en medicina intensiva con Inteligencia Artificial
493. Estudio descriptivo de los pacientes añosos con patología no coronaria ingresados en una UCI de segudo nivel
494. Análisis de la calidad del sueño en pacientes de consulta postUCI
495. Factores relacionados con el estrés postraumático en pacientes que pasaron la consulta postUCI
496. Interés de una red de investigadores europeos investigando el sueño y el ritmo circadiano en la UCI: necesidad y propuesta
497. Análisis de síndrome de burnout (SDB) en trabajadores de una UCI de un hospital terciario
498. Una década de datos automatizados, ¿qué nos pueden decir sobre los factores de riesgo de reintubación?
499. Algortimo para la predicción de estancias hospitalarias prolongadas en la unidad de cuidados intensivos
500. Análisis descriptivo de los pacientes vistos en consulta postUCI en un hospital terciario
501. Terapias de reemplazo renal en el paciente cirrótico crítico: análisis de una cohorte retrospectiva
502. Perfil integral del paciente cirrótico séptico en UCI: análisis detallado de características clínicas y microbiológicas
503. Impacto de la sepsis en pacientes cirróticos: análisis de mortalidad y factores pronósticos en cuidados intensivos
504. Relación entre los gérmenes que infectan la necrosis pancreática y los diferentes focos infecciosos expancreáticos
505. Supervivencia en pacientes cirróticos con sepsis: análisis de factores asociados en cultivos intensivos
506. Eritrocitos inmaduros como parámetro de predicción de gravedad en la pancreatitis aguda
507. ¿Es seguro el drenaje endoscópico temprano de las colecciones pancreáticas necróticas?
508. Mortalidad en pacientes con hepatopatía crónica descompensada ingresados en UCI. Modelo de árboles de clasificación
509. Estudio comparativo del trasplante hepático con donante en asistolia y en muerte encefálica en hospital de tercer nivel
510. Elastancia hepática y otros predictores de viabilidad macroscópica del órgano previo a su donación
511. Donación cardíaca en asistolia, ¿es momento de normalizarla?
512. ¿Hay detrimento de la funcionalidad del injerto renal en riñones procedentes de donantes con fracaso renal agudo?
513. Análisis del primer año de un programa de ECMO-RCP (E-RCP) en un hospital terciario: impacto de la donación
514. Comparación de efectividad de la donación hepática entre donantes DAC (PRN) frente a donantes en muerte encefálica
515. Comparación de efectividad de la donación pulmonar entre donantes DAC (PRN) frente a donantes en muerte encefálica
516. La donación tisular en UCI. ¿Podemos optimizarla?
517. Comparación de efectividad de la donación renal entre donantes DAC (PRN) frente a donantes en muerte encefálica
518. Análisis descriptivo de la donación en asistolia controlada mediante PRN en un hospital de segundo nivel
519. Desarrollo y existencia de insuficiencia cardíaca latente en el asma severo
520. Modelo predictor de mortalidad en tromboembolismo pulmonar que precisa ingreso en medicina intensiva
521. Análisis de la atención a la parada cardiorrespiratoria intrahospitalaria en un hospital de tercer nivel
522. Catéteres centrales de inserción periférica en pacientes críticos: estudio retrospectivo en UCI
523. Perfil clínico y evolutivo de pacientes con parada cardiorrespiratoria extrahospitalaria reanimada ingresados en UCI
524. Papel pronóstico de la disfunción del VD en pacientes con shock séptico evaluado mediante strain y speckle tracking
525. Variables asociadas con el resultado de pacientes reanimados tras parada cardiorrespiratoria extrahospitalaria
526. Utilidad de scores pronósticos en la parada cardiorrespiratoria extrahospitalaria
527. Utilidad pronóstica de las enolasas en la parada cardiorrespiratoria extrahospitalaria
528. Papel del intensivista en el diagnóstico de hipertensión pulmonar
529. Análisis de las paradas cardiorrespiratorias en pacientes con shock cardiogénico
530. La nueva frontera en hipertensión pulmonar: ¿Más diagnósticos con menos pruebas?
531. Percepción de la sed como herramienta para valorar la volemia en pacientes semicríticos: estudio THIRST
532. Paradas cardiorrespiratorias en una UCI polivalente
533. Registro de parada cardiorrespiratoria intrahospitalaria (PCRIH) en hospital terciario
534. Asociación entre alteraciones del ritmo tras implante de TAVI y necesidad de marcapasos permanente
535. ¿Se asocia la antiagregación o anticoagulación previa a presentar complicaciones vasculares tras el implante de un TAVI?
536. Estudio descriptivo retrospectivo de complicaciones precoces de cirugía endovascular de aneurismas de aorta
537. Mejoría de la clase funcional tras implante TAVI en un centro hospitalario
538. Estudio descriptivo de las complicaciones más frecuentes en TEVAR y EVAR
539. Experiencia clínica con CEFIDEROCOL en infecciones por bacterias gram negativas multirresistentes
540. Evaluación de un método de cribado rápido y automatizado de portadores de microorganismos multirresistentes
541. Adecuación del tratamiento antimicrobiano en neumonía asociada a ventilación mecánica (NAVM)
542. Infecciones adquiridas en UCI en pacientes con ECMO – VV: prevalencia e impacto
543. Ampliando la muestra: análisis del efecto del protocolo DDS en la colonización por patógenos multirresistentes en UCI
544. Impacto de la implementación de medidas dirigidas a la prevención de la NAVM en UCI (CHUIMI)
545. ¿Qué porcentaje de pacientes no habrían ingresado en UCI según los nuevos criterios de malaria grave de 2024?
546. Impacto de la pandemia por SARS- CoV-2 en la dinámica de las bacterias multirresistentes (BMR) en UCI
547. Relación entre multirresistencia bacteriana y mortalidad en UCI de 2017-2024
548. Experiencia en el tratameinto de infecciones por bacterias gram negativas multirresistentes con CEFIDEROCOL
549. Cohorte de lesionados medulares agudos en una unidad de cuidados intensivos en los últimos seis años
550. Análisis de severidad y supervivencia en politraumatizados ingresados en UCI sin unidad de neurocríticos
551. Complicaciones asociadas a hemorragia subaracnoidea en el complejo hospitalario universitario de Cáceres
552. Características en pacientes con estatus epiléptico en la unidad de cuidados intensivos en un hospital de segundo nivel
553. Morbimortalidad asociada al traumatismo torácico
554. Análisis de trauma grave y del manejo intrahospitalario inicial en el HUVV
555. Factores relacionados con la mortalidad de los pacientes oncológicos ingresados en UCI
556. ¿Qué mortalidad presentan los pacientes oncológicos ingresados en UCI?
557. Un año de trabajo en cuanto a reservorios subcutáneos de refiere por parte de una unidad de cuidados intensivos
558. Pronóstico de los pacientes con enfermedad oncológica o hematológica ingresados en una unidad de críticos
559. Eritropoyesis y el paciente crítico: ¿Es el momento de redefinir el papel de la ferroterapia?
560. Mortalidad del paciente oncohematológico en UCI: análisis estadístico de factores de impacto
561. Trombocitopenia asociada a linezolid: impacto de la disfunción renal y monitorización de niveles séricos del fármaco
562. Análisis del tratamiento antibiótico usado en infecciones comunitarias, extraUCI e intraUCI en el HUNSC. ¿Sirve el PROA?
563. 7 años de ENVIN HELICS – proyecto bacteriemia zero. Unidad de quemados Hospital Vall d’Hebrón. ¿Qué evolución llevamos?
564. Análisis de la tasa de multirresistencia en la UCI de un hospital de tercer nivel
565. 7 años de ENVIN HELICS – proyecto ITU zero. Unidad de quemados Hospital Vall d’Hebrón. ¿Qué evolución llevamos?
566. Análisis de las dosis diarias definidas (DDD) en el uso de antimicrobianos utilizados en la UCI hospital tercer nivel
567. 7 años ENVIN HELICS – proyecto neumonía zero. Unidad de quemados Hospital Vall d’Hebrón. ¿Qué evolución llevamos?
568. Factores de riesgo de shock séptico en infección nococomial en UCI con descontaminación digestiva selectiva trece años
569. Factores de mortalidad en pacientes con infección nosocomial en UCI con trece años descontaminación digestiva selectiva
570. Análisis descriptivo de las variantes COVID-19 en pacientes ingresados en UCI
571. Sepsis y shock séptico: perfil y manejo en pacientes críticos desde urgencias
572. Análisis de las bacteriemias por staphyilococo aureus registradas en nuestro centro sanitario y su seguimiento 100 días
573. Mortalidad y características de endocarditis infecciosas por staphyilococcus aureus diagnosticadas en nuestro hospital
574. Variabilidad de la tasa de ITU-SV en la UMI del HUNSC desde el 2021 hasta el primer semestre del 2024
575. Perfil de donantes en unidad de medicina intensiva: muerte encefálica y donación en asistolia durante los dos últimos años
576. El sol ilumina cada día un mundo nuevo. Paseos a la terraza que curan
577. Adecuación de la terapia de soporte vital: revisión sistemática
578. Donación en asistolia controlada, perfusión abdominal normotérmica – Hospital Universitario de Salamanca 2021-2024
579. Impacto del cultivo de líquido de preservación en el trasplante pulmonar en Hospital Gran Canaria Doctor Negrín
580. Evolución del protocolo de detección de donantes de tejidos en el Hospital Universitario Virgen de la Victoria de Málaga
581. Estudio descriptivo de pacientes trasplantados hepáticos en un hospital de tercer nivel
582. Experiencia en implante de marcapasos para la resincronización cardíaca por el servicio de medicina intensima del HUMT
583. Influencia del tipo de cirugía cardíaca en el desarrollo de shock vasopléjico post-CEC: mito o realidad
584. ¿Se puede predecir el desenlace de una endocarditis antes del quirófano?
585. Experiencia en el uso del holter implantable y la monitorización remota en la UCI de Mérida
586. Cirugía cardíaca mayor en pacientes mayores de 80 años. Experiencia en un hospital de referencia
587. Resultados de un programa de TAVI desde la perspectiva de cuidados intensivos en un hospital de segundo nivel
588. Reporte y análisis de efectos adversos en una UCI
589. Contaminación de hemocultivos, ¿algo que mejorar?
590. Análisis descriptivo y seguimiento tras alta de servicio de medicina intensiva
591. Actividades fuera de la UCI: la importancia de la atención más allá de los monitores y los ventiladores
592. Nuestros primeros datos del seguimiento post-UCI: el punto de partida para futuros estudios y optimización del servicio
593. Implantación del programa extraUCI H. U. de Alcorcón: experiencia tras dos años
594. Limitación del tratamiento de soporte vital en la UCI del Hospital Universitario Augusti de Lugo
595. Análisis de mortalidad tras el alta de unidad de cuidados intensivos
596. Actividad extraUCI en período de pandemia (2020-2021) y post pandemia (2022-2024): ¿Ha cambiado algo?
597. Características clínicas y evolución de pacientes geriátricos ingresados en UCI en un hospital terciario
598. Factores diferenciales de exitus vs. supervivencia en paciente mayor de 65 años en la UCI del Hospital Álvaro Cunqueiro
599. Trastorno de estrés postraumático (TEOT) en supervivientes de la primera ola del COVID-19
600. Seguridad de la traqueostomía percutánea por fibrobroncoscopia en el área sur de Sevilla
601. Estudio comparativo de la incidencia del virus de la gripe A en la unidad de cuidados intensivos durante el período 2023
602. Análisis de pacientes ingresados en UCI con diagnóstico de tromboembolismo pulmonar tratados con fibrinólisis
603. Estudio descriptivo de pacientes ingresados por insuficiencia respiratoria aguda en una unidad de cuidados intensivos
604. Salbutamol en nebulización contínua: eficacia de su uso en pacientes críticos
605. Relación entre la adecuación del tratamiento antimicrobiano (ATM) inicial y desenlaces clínicos en neumonías en UCI
606. Epidemiología del trauma grave en una UCI de un hospital de nivel III en los años 2022, 2023 y 2024
607. Análisis de los traumatismos en un hospital de tercer nivel
608. Evolución de los ingresos por tentativa de suicidio en la unidad de cuidados intensivos tras la pandemia de COVID-19
609. Más activos, más vulnerables: ¿Cómo es el adulto mayor politraumatizado?
610. Análisis descriptivo de los pacientes con politraumatismo ingresados en UCI
611. Prioridades y necesidades de los profesionales en la atención al trauma grave: una perspectiva desde el campo clínico
618. Evolución del isoflurano como hipnótico de primera línea en UCI
619. Uso de sevoflurano en la sedación de pacientes críticos en la unidad de cuidados intensivos
620. Uso de isoflurano como sedante de elección en una UCI polivalente de un hospital de referencia provincial
621. Impacto de la sedación en el desarrollo de alteraciones neuropsicológicas a largo plazo
622. Uso de psicofármacos iniciados en UCI y su continuación al alta: estudio observacional PSICU_ALTA
623. Análisis descriptivo de la donación en muerte encefálica en un hospital de segundo nivel
624. Estudio ADELPHA. Implicación de la pérdida de banda alfa en el desarrollo de delirium durante la sedación profunda
625. Impacto del cultivo de líquido de preservación en el trasplante cardíaco en Hospital Doctor Negrín
626. Destete de ECMO en el trasplante de pulmón para soporte intraoperatorio
627. Impacto de la terapia con animales terapéuticos en el paciente crítico: un enfoque innovador para reducir la ansiedad
628. Análisis y evolución del uso de contenciones mecámicas en la unidad de cuidados intensivos del Hospital de Fuenlabrada
629. Análisis de la tasa de reingreso y mortalidad intrahospitalaria tras estancia en la unidad de cuidados intensivos
630. Factores relacionados con el síndrome ansioso-depresivo en pacientes que pasaron la consulta postUCI
631. Dos años de consulta post-UCI: ¿Supone una mejora en el diagnóstico y tratamiento de los pacientes con síndrome post-UCI?
632. Influencia del género en el síndrome postUCI
633. Mapa de experiencia de la familia (MEF) en UCI, una herramienta clave en la mejora de la calidad percibida
634. Decisiones clínicas en la puerta de la UCI: perfil clínico de pacientes no admitidos
635. Análisis de los factores relacionados con la morbimortalidad en los pacientes añosos con patología no coronaria
636. ¿Cuál es la percepción del personal sanitario sobre las sesiones clínicas multidisciplinares diarias?
637. Charlson y Sabadell: apoyo en decisiones difíciles para pacientes frágiles
638. DAI subcutáneo para el tratamiento de arritmias ventriculares graves: experiencia tras cinco años en nuestra UCI
639. Factores de riesgo y mortalidad en pacientes con implante de marcapasos: un análisis retrospectivo
640. Inicio de estimulación cardíaca en rama izquierda en un hospital comarcal
641. Relación entre la grasa preperitoneal y la incidencia de enfermedad multivaso en críticos con síndrome coronario agudo
642. Patrón electrocardiográfico predictor de obstrucción coronaria aguda en SCASEST tipo infarto
643. Beneficios clínicos que se derivan del implante de marcapasos definitivo en una unidad de cuidados intensivos
644. ¿Existe mejoría de la función ventricular tras el implante de marcapasos de rama izquierda?
645. Complicaciones registradas en la implantación de marcapasos con estimulación de rama izquierda
646. Análisis de los pacientes con diagnóstico de PCR en el contexto de SCACEST tratados con fibrinólisis durante la RCP
647. Estudio descriptivo de características de pacientes sometidos a TAVI que requieren implante de marcapasos definitivo
648. Impacto de un nuevo protocolo de nutrición en la UCI: optimización del soporte nutricional
649. Disfagia postextubación en paciente crítico: complicaciones e implicación en el pronóstico vital
650. Impacto de la ingesta proteica en la debilidad del paciente crítico: ensayo prospectivo intervención en 18 UCIs Españolas
651. Características evolutivas de los requerimientos calóricos del paciente crítico mediante calorimetría indirecta
652. Influjo dosis proteicas en la movilidad del paciente crítico. Estudio prospectivo 18 UCIs Españolas
653. Impacto de las políticas de visitas ampliadas y nuevas iniciativas humanizadoras en el paciente crítico y sus familiares
654. Implementación de consulta post UCI en el complejo hospitalario de Jaén en el año 2024
655. «Efecto Weekend» en pacientes con insuficiencia respiratoria aguda tratados con ventilación no invasiva
656. «Efecto Holidays» en pacientes con insuficiencia respiratoria aguda tratados con ventilación no invasiva
657. Correlación entre una escala semicuantitativa y el pico flujo espiratorio medido en el ventilador
658. Intubación orotraqueal en unidad de cuidados intensivos polivalentes: la vida después del INTUPROST
659. «Mechanical Power» compartimentado de ventilación en postoperatorio de trasplante pulmonar. Relación pronóstica
660. Impacto de las horas con drive inspiratorio (P0.1) alterado en la mortalidad de los pacientes críticos ventilados
661. Descripción de la práctica clínica habitual de la prueba de respiración espontánea en España
662. Aparente «reverse triggering» inducido por disfunción diafragmática
663. Relación entre duración de la ventilación mecánica y reducción en la fuerza diafragmática
664. ¿Es la normalización de la «mechanical power» clave para su asociación con la mortalidad en los pacientes ventilados?
665. Análisis descriptivo y comparativo de los accidentes de bicicleta: un problema en crecimiento
666. Influencia de la etiología de autolisiados por precipitación en la evolución del trauma grave
667. Análisis descriptivo de pacientes politraumatizados potencialmente graves atendidos en un centro de tercer nivel
668. Calidad de los datos incluidos en el registro retraUCI: análisis de observaciones faltantes y extremas
669. El valor del ratio neutrófilo-linfocito en las primeras 24 horas del traumatismo craneoencefálico
670. Hemorragia subaracnoidea traumática en la línea media y HIV, como marcadores de lesión axonal difusa (LAD) severa
671. ¿Qué le ocurre a nuestro adulto mayor politraumatizado?
672. Traumatismo craneoencefálico en mayores de 65 años
673. Eficacia del packing preperitoneal y embolización arterial en politraumáticos con fractura pélvica
674. Colaboración y satisfacción en equipos de atención al trauma grave
675. Valor pronóstico de las variables de imagen en la tomografía al ingreso de pacientes con traumatismo craneoencefálico
89BIS. Traslados intrahospitalarios de los pacientes críticos y su impacto en la seguridad
Español
Español
English